Just how to Compose a Declaration Letter for Kid Wardship

An efficient declaration letter for a youngster custodianship situation has the kid’s best interests at the forefront. An affirmation letter with clear, valid details and requests can aid you better connect your placement to the court.

Parents utilize youngster affirmation letters to specify their setting to the court when they can not agree on a custody arrangement. They can likewise utilize statement letters to ask for an adjustment to the current wardship or child assistance agreement.

This post gives a comprehensive guide to composing a statement letter for kid safekeeping instances, including an example letter. It clarifies:

  • What a declaration letter is and when it’s required
  • Detailed instructions on just how to create a compelling letter
  • Example of an affirmation letter
  • Tips for writing an impactful declaration letter

For more information and resources, see FindLaw’s Youngster Safekeeping Law section.

Meaning of Affirmation Letter for Child Guardianship

A statement letter for youngster wardship is a created statement submitted to the family court that outlines a parent’s position and issues about the protection of their minor kid. This file also includes certain ask for the lawful guardianship arrangement, parenting time, and kid assistance. It is typically utilized as part of a bigger legal safekeeping proceeding.

A family court judge thinks about affirmation letters when figuring out guardianship setups. In some circumstances, a non-parent rep of the kid (like a guardian ad litem) may additionally examine the affirmation letter and make recommendations.

What Scenarios Require a Declaration Letter?

Affirmation letters are typically made use of when moms and dads can not agree on the regards to their protection plan. If moms and dads require assistance from the family court determining a guardianship arrangement, they can send decision letters to aid present their perspectives, concerns, and sustaining proof to the court.

Some states’ wardship legislations call for both moms and dads to submit affirmation letters for guardianship procedures. Even if not called for under state legislation, private courts or courts might require them.Join Us prenuptial agreement website

A moms and dad can additionally send a composed affirmation letter to the court to request a modification to their protection order. This can take place if a moms and dad believes the existing arrangement is not in the youngster’s best interests. There are a number of reasons a parent may request a protection adjustment:

  • Worries about the kid’s safety and security or health
  • A change in situations (like a brand-new task, home, or an adjustment in the kid’s demands)
  • A moms and dad intends to relocate to a various city or state.
  • A moms and dad is non-compliant with the existing safekeeping order.

What To Include in a Child Protection Affirmation Letter

What you consist of in your affirmation letter depends upon your custodianship circumstance and territory. Yet, there prevail elements you need to include:

  • Information regarding the moms and dad writing the letter, including their relationship to the child
  • A description of the existing custodianship and visitation arrangement, if relevant
  • Description of why the moms and dad is seeking an adjustment to the custody arrangement or kid support order
  • Information of the suggested wardship plan the moms and dad is asking for, including timetables, responsibilities, and kid support
  • Evidence and documents that supports the parent’s claims or demands
  • A description of exactly how the suggested setup prioritizes the child’s benefits

The following area goes comprehensive on what to consist of and just how to create your statement.

Example of Statement Letter

A well-written youngster safekeeping declaration letter can be an effective tool in properly providing your case to the court.

This template will certainly will aid you prepare your statement letter. Complying with the structure below will certainly aid you express your point of view, state your requests, and support your insurance claims to the court. Each area supplies details assistance on what to consist of and instance language you can use to influence your own letter.

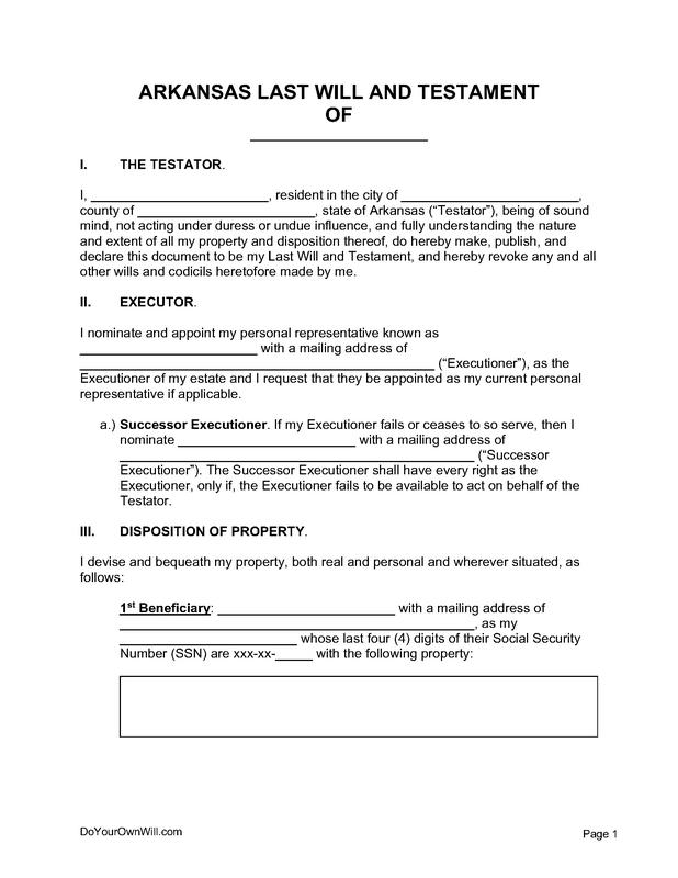
Header

Make use of the basic instructions below to develop the header for your affirmation letter. Some courts use a particular declaration kind – ask the notary about this before you start.

[Your Complete Name]
[Your Address]
[Email Address]
[Phone Number]
[Day]

Re: Kid Custody Affirmation for [Court Case Number]

To: The Respectable [Court’s Last Name]
[Household Court Of Law Address]

Intro

If custodianship proceedings become part of a separation, state the day of your marital relationship and dissolution. If you and the various other event were not married, state the begin and end of your connection or when you stopped cohabitating. Include the name and dates of your child or kids and when they were born.

Next, clearly state the current guardianship plan, what you look for to customize, and why. Consisting of a present setup is not required for a preliminary custody contract.

I, [Your Call], am creating this statement to supply info concerning the guardianship of my kid, [Child’s Name], born upon [Child’s Date of Birth]

I am [Child’s Name]’s mother. The respondent and I currently have a joint protection agreement for both physical and legal guardianship. I am seeking a modification to this plan, to sole physical custody and sole legal safekeeping, as well as a rise fully youngster assistance standard. I am asking for these adjustments as a result of the respondent’s non-compliance with our current safekeeping plan and kid assistance order.

Background and Background

Next off, supply context for the safekeeping situation. Utilize this area to aid the court recognize your kid’s living conditions and home atmosphere. Make sure to discuss:

  • Any unique demands your kid has
  • College and extracurricular information
  • Healthcare
  • Both moms and dads’ employment information and just how it relates to their parenting
  • Any other relevant info

After our divorce in 2022 and subsequent joint protection contract, [Youngster’s Name] has actually invested most of their time with me in my home. Under our existing contract, the participant has parenting time every/other weekend. We additionally have with a separate schedule of parenting time for vacations.

I have actually been utilized full time at ABC Media considering that 2016 with common daytime hours, Monday via Friday. The respondent has had periodic employment since our divorce and has actually stopped alerting me when they quit or start a new job.

I have actually been the main physical and psychological caretaker for our youngster because our divorce. Doing this alone has not been simple but I will do whatever needed to ensure my child’s well-being and stability. They participate in school at XYZ Montessori and sometimes attend the school’s after-school program when I have job occasions (around 2-3 times each month). They likewise join softball and songs lessons, for which I cover all expenses and offer transportation.

Troubles With Existing Wardship Plan

In this section, information the problems with the wardship plan. This area should be as succinct as possible. Stick with the realities – you’ll use the complying with section to give proof supporting what you mention here. Do not make accusations you can not support with supporting paperwork or proof.

The participant followed this contract properly for approximately 60 days after our separation. After that, they came to be progressively late for pick ups and hand over. They also ended up being increasingly unstable for their parenting time with a consistent record of texting or calling me eleventh hour to claim they might not take [Kid’s Name] for their arranged parenting time.

There have additionally been several instances where the respondent fell short to pick our child up from college on time Fridays and missed arranged holidays. There have additionally been a number of times when the participant did not call or get in touch with on their birthday celebration, initial day of school, and various other momentous events for a child. The participant has actually likewise stopped working to make scheduled kid assistance payments and currently owes over $5,000 in past-due assistance.

[Youngster’s name] is a pleased and well-adjusted youngster overall. Nevertheless, they have expressed to me a number of times the pain and disappointment of not seeing their various other parent. This is even more painful for them when the respondent falls short to follow up on scheduled parenting time.

I am dedicated to making sure the well-being and security of my child and believe the recommended plan remains in their best interest. I agree to work collaboratively with the respondent to make sure a healthy and supportive environment for [Youngster’s Name]

Supporting Proof

Utilize this area for evidence of the concerns you have actually reviewed over. Supporting documentation can include:

  • Photos
  • Bank declarations and pay stubs
  • Records of document and messages
  • Medical or lawful papers
  • Observe statements or testimonies
  • Various other proof that supports your insurance claims

Make certain to redact any kind of delicate details.

Attachment A shows a document of messages from the participant concerning their failure to take our youngster for their arranged parenting time. This accessory highlights that they have actually fallen short to follow through with their set up parenting time roughly 90% of the moment since April 2022.

Accessory B is a document of kid support settlements, consisting of all missed out on payments. This document shows the participant owes $5,062 in past-due child support.

Add-on C has a number of monetary files that show my expenses and revenue. You will see right here just how I rely on child support income to cover our child’s prices ands expenditures.

  • Bank statements
  • Pay stubs from ABC Media
  • Home loan statements and utility costs
  • Charge card declarations
  • Billings for kids’s extracurriculars and after-school care
  • Clinical costs
  • Monthly home spending plan

Your Demands

Specify regarding what you are asking for custody and various other support. Keep in mind that what you request should mirror the very best rate of interests of the kid criterion. Your demands could be relating to:

  • Legal protection plan (such as single physical custodianship or legal safekeeping)
  • Parenting time schedule
  • Holiday parenting time routine
  • Child assistance payments

Due to the above factors, I am asking for single physical and single lawful custodianship of [Youngster’s Name] I am likewise asking for a boost to the full youngster support guideline and enforcement action to accumulate financial obligations. I think these alterations will certainly better sustain the physical, psychological, and emotional wellness of our child.

Verdict

End your declaration letter with a concise recap of your propositions and why they will benefit your kid. Conclude your letter by claiming everything you have specified is true, under penalty of perjury. You might also need to swear it.

To sum up, I am asking for a modification to sole physical guardianship and sole lawful protection of [Kid’s Name], and an increase to the full child assistance standard and enforcement action to accumulate financial obligations. I believe these alterations will certainly enable me to far better provide for our kid’s requirements and advertise a more steady, constant atmosphere and schedule.

What I have mentioned in this letter in true to the very best of my individual knowledge under penalty of perjury in the state of [Your State]

All the best,

[Your Trademark]
[Your Printed Name]

Tips for Composing an Efficient Youngster Statement Letter

  1. Check your statement letter carefully before submitting to the court. A family law lawyer can likewise examine and recommend on the contents of your letter.

  2. Some states utilize a details affirmation kind. If not, a judge may appreciate if your letter is on begging paper, or a particular format of paper utilized for filing legal files. You can find a pleading paper design template in Microsoft Word.

  3. Respect the court’s time by being as succinct as feasible. Include all important details on your affirmation letter, yet prevent unneeded details or repetition.

  4. Keep the heart of your letter on your kid’s best interests. What you are requesting should inevitably aim back to enhancing the wellness of your child.

  5. Keep a considerate and neutral tone. The judge must be able to concentrate on the facts without being sidetracked by your emotions.

  6. Strong your headings and write in shorter paragraphs. This makes it less complicated for the court to check out and realize the bottom lines of your affirmation. It’s alright to write in simple language – a judge will not expect you to create like an attorney as long as you communicate plainly and truthfully.